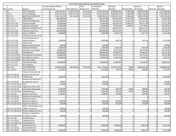
Ejecución presupuestal de ingresos 2016 a 2019

Fecha
2019
2019
Autor
Santa Rosalía (Vichada, Colombia). Alcaldía municipal
Metadatos
Mostrar el registro completo del ítem
Mostrar el registro completo del ítem
Palabras clave / Materias
Presupuesto
Recaudo
Apropiaciones
Obligaciones
Presupuesto
Recaudo
Apropiaciones
Obligaciones
URI para citación
https://repositoriocdim.esap.edu.co/handle/20.500.14471/25995
https://repositoriocdim.esap.edu.co/handle/20.500.14471/25995
Colecciones
- Documentos Municipales [16362]
© 2020 ESAP Sede Principal Calle 44 # 53 - 37 CAN, Bogotá D.C. - Código Postal: 111321
Nuevos canales de atención telefónica: En Bogotá (+57 1) 4434920, resto del país PBX: 018000 423 724
Correo Electrónico: ventanillaunica@esap.edu.co
Buzón exclusivo para efectos de notificaciones judiciales: notificaciones.judiciales@esap.gov.co
Horario de Atención: Lunes a viernes de 8 a.m. a 5 p.m. - Recibo de correspondencia externa de 8 a.m a 4 p.m
Tecnología DSpace implementada por

